今天,我们从每年入读学生数量的角度,来分析一下U.S. News综合排名前50的学校。

为什么要尝试从这个角度来分析?因为其实每个年级的入读学生规模,也是我们广大学生和家长在升学的时候会考虑的一个因素。不同的学生和家长有着不同的偏好:比如,有些学生希望学生规模小一点,喜欢更安静,学生群体更加紧密;有的学生则希望学生规模大一些,喜欢更热闹,各种活动更加丰富;有的学生喜欢规模大小居中,能够做到兼容并包。
总的来说,如同其他指标一样,学生规模也可以体现美国大学的多样性。我们看看下面的图表,由少到多,列出了前50大学中一年入读学生数量(源自2025级或者2026级的数据)。
其中,一届学生人数最少的是加州理工,仅仅270人;一届学生最多的是德州奥斯丁,达到9060人,两个学校一届入学的学生数量相差30多倍。
本文还将前50大学中的33所私立大学和17所公立大学进行了分类的分析。简单说,招生人数比较多的是公立大学,招生相对来说比较少的是私立大学。但是各项分类中有共性也有个性,因此在对每种分类进行统计学分析的同时,我们也不要忽略自己感兴趣的具体学校的独特性。



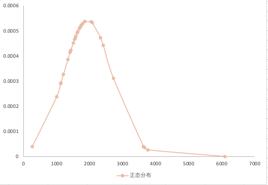
前50大学入学规模总体分析:
将综合排名前50的所有大学一起来统计,可以算出:每届入学学生人数平均值为:3390人,中位数(也就是学生人数排在第25位的大学一年入学的人数)是:1955人。

(见上图)那么经过计算,这50所大学一年入读人数的标准方差为:2500,这意味着前50名的学校中,大部分(68%)的学校每年入读人数在890人-5890人之间。
前50中33所私立大学
和17所公立大学入学规模对比分析
(如上图:33所私立大学入学规模由少到多排序)
(如上图:17所公立大学入学规模由少到多排序)
我们将综合排名前50的大学中的33所为私立大学和17所为公立大学进行对比分析,从统计数字中,我们自己也可以看出不同的特点:
私立大学的每年平均入读人数为:1951人;对应公立大学平均数为:6184。
私立大学入读人数中位数(也就是人数排在第16位的大学一年的入学人数)是:1791人;对应公立大学的中位数(也就是排在第8的大学的一届学生数量)是6586人。
私立大学中,每年入读学生规模最小的是加州理工,仅270人。因此,确实从这方面来说,也不难理解,为什么每年中国学生能够进加州理工的人数很少,因为他本来招生人数就极少;公立大学中,每年入读规模最小的是威廉玛丽学院,为1643人。
私立大学中每届入读学生人数最多的是纽约大学,达到6097人;那么在前50的17所公立大学中,一届学生最多的就是之前我们说的德州奥斯丁,9060人,也就是一届学生就近万人了,数量不少,当然他本州的学生占到了88.7%,国际学生仅占2.5%。

(如上图)经过计算,这33所私立大学每年入读规模的标准差是737,也就是说,大部分(68%)的学校,一年的入学人数是在1214人-2688人之间;绝大部分(95%)的学校一年入学人数在477人-3425人之间。所以纽约大学的6000多人和加州理工的270人都算是特例。

(如上图)经过计算,这17所公立大学每年入读人数的标准差是1456,也就是说,公立大学大部分(68%)的大学一届入读人数在4728人-7640人之间,绝大部分(95%)的公立大学一届入读人数在3272人-9096人之间。
还可以发现,学校规模大了之后,一般申请的时候就会分学院来申请了,一些招生规模相对大的私立大学是这样,那么招生规模更大的大部分公立大学也是这样。
比如在私立大学里边,我们经常会提到常春藤联盟的八所大学。我们也可以看出他们中间的一些不同。比如哈佛、耶鲁、普林斯顿、达特茅斯、布朗,在申请的时候都不分学院的,只是表达一下你的学术兴趣就可以。
那么规模相对较大的宾大(2418人),申请时分成文理学院、工程学院、沃顿商学院和护理学院来申请,当然也有各种双学位的设置。
比如康奈尔(3765人),他申请时分成文理学院、工程学院、农业和生命科学学院、人类生态学院、建筑艺术规划学院、公共政策学院、约翰逊商学院、工业和劳动关系学院来申请。康奈尔大学有其特殊之处,他既是私立大学,但同时也和纽约州有着很深的联系,他本科学院中的农业学院、人类生态和工业劳动关系学院是和纽约州共建。
哥伦比亚大学算是一个特列,他招生规模比较小(1560人),但申请时分成本科学院和工程学院。
想要了解更多留学规划、选校文书的问题可以咨询我们